Hinweis
Zum Ende springen, um den vollständigen Beispielcode herunterzuladen.
Auswählen einzelner Farben aus einer Colormap#
Manchmal möchten wir mehr Farben oder einen anderen Satz von Farben verwenden, als der Standard-Farbzyklus bietet. Das Auswählen einzelner Farben aus einer der bereitgestellten Colormaps kann eine praktische Methode dafür sein.
Wir können Farben aus jeder Colormap abrufen, indem wir sie mit einem Float oder einer Liste von Floats im Bereich [0, 1] aufrufen; z.B. cmap(0.5) gibt die mittlere Farbe zurück. Siehe auch Colormap.__call__.
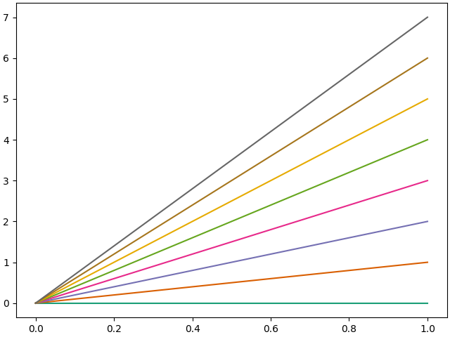
Farben aus einer kontinuierlichen Colormap extrahieren#
import matplotlib.pyplot as plt
import numpy as np
import matplotlib as mpl
n_lines = 21
cmap = mpl.colormaps['plasma']
# Take colors at regular intervals spanning the colormap.
colors = cmap(np.linspace(0, 1, n_lines))
fig, ax = plt.subplots(layout='constrained')
for i, color in enumerate(colors):
ax.plot([0, i], color=color)
plt.show()

Farben aus einer diskreten Colormap extrahieren#
Die Liste aller Farben in einer ListedColormap ist als Attribut colors verfügbar. Beachten Sie, dass alle Farben aus Matplotlibs qualitativen Colormaps auch als Farbsequenzen verfügbar sind und daher direkter aus dem Farbregister abgerufen werden können. Siehe Benannte Farbsequenzen.

Siehe auch#
Weitere Details zur Bearbeitung von Colormaps finden Sie unter Erstellen von Colormaps in Matplotlib. Um den Standard-Farbzyklus zu ändern, siehe Styling mit Cycler.
Referenzen
Die Verwendung der folgenden Funktionen, Methoden, Klassen und Module wird in diesem Beispiel gezeigt
Gesamtlaufzeit des Skripts: (0 Minuten 1,208 Sekunden)